In China, the prevalence of hypertension is on the rise. Some hypertensive patients experience dizziness in the morning or at noon, often attributing these symptoms to fatigue and believing they can be alleviated with rest, thus failing to recognize their significance. In reality, this is frequently attributable to elevated morning blood pressure.
Research indicates that the period between 7:00 AM and 10:00 AM is a peak window for cardiovascular events. Stabilizing blood pressure control and avoiding the morning surge are particularly crucial for reducing cardiovascular risk.
What is Morning Blood Pressure?
Morning blood pressure is defined as:
Narrow Definition:
Blood pressure is elevated *only* during the morning period while remaining within normal ranges at other times of the day. This condition represents a form of masked hypertension.
Broad Definition:
This refers to an average home blood pressure reading of ≥135/85 mmHg or an average office blood pressure reading of ≥140/90 mmHg, *regardless* of whether blood pressure at other times is above normal levels.
The Hazards of Elevated Morning Blood Pressure
In hypertensive patients, blood pressure fluctuates continuously throughout the day. During the morning hours, as the body transitions from sleep to wakefulness, blood pressure exhibits a significant rising trend. If this increase in blood pressure is excessive, it can cause varying degrees of damage to target organs such as the heart, brain, and kidneys, and may even trigger severe events like myocardial infarction (heart attack) and stroke.
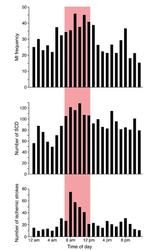
Furthermore, epidemiological studies indicate that the morning period carries a higher probability of adverse cardiovascular events—including myocardial infarction (MI), sudden cardiac death (SCD), and ischemic stroke—compared to other times during the day and night [1].

Some hypertensive patients neglect the management of their morning blood pressure, thereby increasing the risk of triggering adverse cardiovascular events. Therefore, it is crucial to scientifically manage and prioritize morning blood pressure to prevent such occurrences.
Morning Blood Pressure: Monitoring and Treatment Principles
Home Blood Pressure Monitoring:
Key recommendations for home blood pressure measurement include:
Principles for Treating Morning Hypertension:
Morning Blood Pressure Management Protocol

Morning blood pressure is closely associated with cardiovascular and cerebrovascular diseases.Therefore, effective management of morning blood pressure is of paramount importance for reducing the risk of such events. By working closely with healthcare providers to maintain rigorous monitoring and active treatment—and by selecting long-acting antihypertensive agents that provide genuine 24-hour blood pressure control—patients can minimize the risks associated with hypertension.
[1] Thosar SS, Butler MP, Shea SA. Role of the circadian system in cardiovascular disease. J Clin Invest. 2018;128(6):2157-2167.
[2] Chinese Expert Consensus on the Clinical Management of Morning Hypertension. Chin J Cardiol. 2014;42(9):721-725.